TIN y TAE de una hipoteca: qué son y por qué son tan importantes

Tanto el TIN como la TAE son conceptos comunes a la hora de pedir una hipoteca y conocerlos nos será de gran utilidad para calcular el coste de nuestro préstamo hipotecario. Pero ¿qué es el TIN y qué es la TAE? ¡Nosotros te lo explicamos!

Mario Güera-i-Duch Autor
5 min de lectura Tiempo estimado
11 feb 2025 Última actualización

Índice de contenidos

  1. ¿Qué es el TIN de una hipoteca?

  2. ¿Qué es la TAE de una hipoteca?

  3. ¿Qué incluye la TAE?

  4. VIDEO TIN o TAE: La verdad sobre los intereses de tu hipoteca

  5. ¿Cuál es la diferencia entre TIN y TAE?

  6. ¿Qué es más importante: el TIN o la TAE?

  7. Ejemplo de TIN y TAE en dos hipotecas distintas

  8. ¿Cómo se calcula el TIN de una hipoteca?

  9. ¿Cómo se calcula la TAE?

¿Qué es el TIN de una hipoteca?

El Tipo de Interés Nominal (TIN) es el precio que nos cobra un banco por el hecho de prestarnos dinero. En otras palabras, cuando pedimos una hipoteca, el banco se lleva una cantidad como remuneración por el servicio. Ese es el TIN.

Ahora bien, lo que nos cuesta en total una hipoteca a menudo va más allá del precio que le pone el banco al dinero. Y ahí es cuando entra la TAE.

Volver al índice

¿Qué es la TAE de una hipoteca?

La Tasa Anual Equivalente (TAE) es una variable compuesta por varios factores, entre los que encontramos el TIN, los gastos y las comisiones asociadas con la hipoteca y el plazo de la operación. Así pues, la TAE es el tipo de interés que nos indica una información valiosa: la cantidad real que pagamos por un préstamo hipotecario.

Volver al índice

¿Qué incluye la TAE?

En general, la TAE incluye varios gastos de una operación hipotecaria:

  • El Tipo de Interés Nominal (TIN).
  • La comisión de apertura de una hipoteca, en caso de que la haya.
  • Los productos vinculados al crédito, o sea, aquellos que el cliente contrata a menudo a cambio de bonificaciones.
  • Los gastos de los estudios de viabilidad que hace el banco para analizar tu grado de solvencia.

Volver al índice

VIDEO TIN o TAE: La verdad sobre los intereses de tu hipoteca

¿Cuál es la diferencia entre TIN y TAE?

Ambos valores están relacionados, pero no son lo mismo. Estas son las principales diferencias entre TIN y TAE:

TIN

TAE

Solo indica el tipo de interés que cobra la entidad bancaria por prestarte dinero.

Es un valor más certero, pues incluye el TIN y otros gastos relacionados con el préstamo.

Lo escoge el banco y varía según el importe, el plazo y nuestro perfil.

Va directamente condicionada por el TIN, pues está compuesta por este.

Es un valor que afecta solo a la cuota mensual.

Es un porcentaje anual que engloba el coste real de la hipoteca.

 

Por norma general, la TAE es más alta que el TIN y la diferencia será mayor dependiendo del tipo de préstamo y los gastos adicionales que incluya. Sin embargo, TIN y TAE coinciden en caso de que los intereses se paguen una sola vez, por ejemplo a vencimiento de un producto.

 

Volver al índice

¿Qué es más importante: el TIN o la TAE?

Ambos valores son importantes, aunque, a decir verdad, a la hora de contratar una hipoteca nos interesa fijarnos en la TAE.

La TAE mide de manera homogénea cualquier operación financiera sobre una misma base anual, sea cual sea su duración. Incluso si tu préstamo es de unos meses, la Tasa Anual Equivalente te dice exactamente eso: cuánto equivaldría el coste a un año.

Y es por ello que, tomando la TAE como referencia, podemos comparar varias ofertas del mercado considerando su coste real sobre nuestros bolsillos.

Volver al índice

Ejemplo de TIN y TAE en dos hipotecas distintas

Comparemos dos ofertas de hipotecas hipotéticas, con el siguiente TIN:

Hipoteca A

Hipoteca B

TIN 2,5 %

TIN 4 %

 

A simple vista, uno pensará que la hipoteca A es mejor. Sin embargo, estos préstamos incluyen las siguientes condiciones:

Hipoteca A

Hipoteca B

Comisión de apertura: 2 %

Comisión de apertura: 0,25 %

Seguro del hogar y de vida: 140 €/año

No obliga a contratar servicios adicionales

Gastos de mantenimiento de la cuenta: 34 €/trimestre

 

 

Todas esas condiciones se ven reflejadas en la TAE de cada préstamo, que, si nos fijamos, resulta ser la siguiente:

Hipoteca A

Hipoteca B

TAE 6,5 %

TAE 4,5 %

 

Así, concluímos que la hipoteca A realmente nos costará un 2 % más anualmente, por lo que la hipoteca B es mejor a largo plazo.

Volver al índice

¿Cómo se calcula el TIN de una hipoteca?

El Tipo de Interés Nominal (TIN) es un porcentaje que fija el mismo banco a la hora de ofrecer préstamos y se rige por la ley de la oferta y la demanda. Por lo general, este tipo de interés será mayor cuanto más riesgo le suponga a tu entidad bancaria la operación.

En el caso de las hipotecas fijas, el TIN será un porcentaje fijo, mientras que, el TIN de las hipotecas variables está compuesto por el euríbor + el diferencial que el banco señale para su beneficio.

Volver al índice

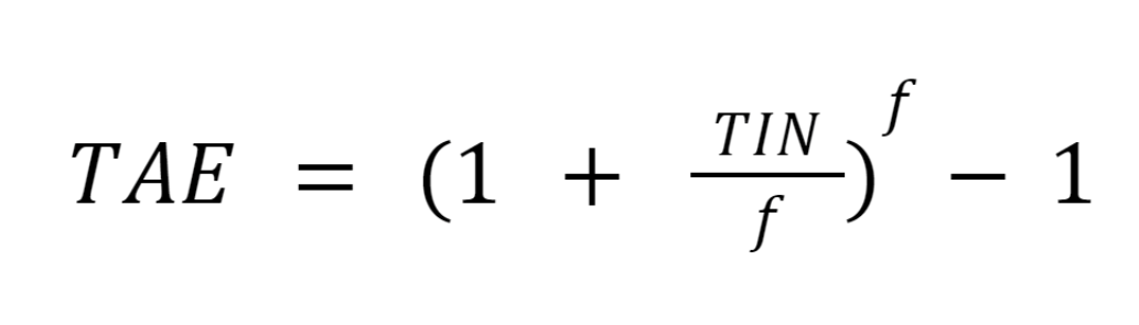
¿Cómo se calcula la TAE?

formula-tae-hipoteca

Para calcular la TAE, se utiliza esta fórmula matemática que toma el TIN y la frecuencia de los pagos (f), además de otros datos, como las comisiones del banco y otros gastos de la operación.

De todos modos, ¡no debes preocuparte! Existen calculadoras online gratuitas para ello, como la que ofrece el Banco de España en su página web.

Entonces, ¿cómo sé cuál es la TAE?

Los bancos (y las empresas de intermediación hipotecaria) están obligados por ley a informar sobre la TAE en todos estos casos:

  • En anuncios o publicidad donde se haga referencia al precio o coste de un préstamo.
  • En la Ficha Europea de Información Normalizada (FEIN), antes de formalizar un contrato.
  • En los contratos sobre hipotecas que se firmen con sus clientes.
  • En los documentos de liquidación.
  • En las ofertas vinculantes.

Volver al índice

Encuentra el servicio que buscas

Artículos relacionados